上海股交中心推企业服务一卡通 助力科创企业上北交所
上海股交中心推企业服务一卡通 助力科创企业上北交所 6月26日,“走进”系列-北交所专场宣讲暨上海股交中心“企业服务一卡通”品牌活动在沪举行。本次活动汇聚了来自上海的100余家知名投资机构、被投企...
上海股交中心推企业服务一卡通 助力科创企业上北交所 6月26日,“走进”系列-北交所专场宣讲暨上海股交中心“企业服务一卡通”品牌活动在沪举行。本次活动汇聚了来自上海的100余家知名投资机构、被投企...
强化国有企业履行战略使命,为高质量发展注入持久动力 近日,中央企业负责人研讨班提出,加快推动建设国有企业战略使命评价制度,完善分类考核评价体系。国有企业是中国特色社会主义的重要物质基础和政治基础,...
三个关键词看民营经济活力迸发 卫星能有多轻? 在星众空间(嘉兴)科技股份有限公司工厂,重量最轻的卫星仅20公斤,性能却不打折扣。“微纳卫星应用正加速走进寻常百姓家。”企业相关负责人表示,未来普通用...
雄安城市计算中心:未来之城的城市大脑,智能元素融入生活 长城网·冀云客户端记者 郭慧岩 赵娇莹 马宁 拔节生长,日新月异。 “未来之城”雄安每一天都让人欣喜。 在这里,空气中都充满着创新的味道;...
雄安新区建设大步迈进,展现‘雄安标准’与‘雄安质量’ 长城网讯(记者张青果 孙文宾 霍少轩)启动白洋淀生态环境创新治理、实施容东片区的征拆建设……中央批复河北雄安新区总体规划中交雄安投资有限公司,...
聊聊2025年中国房价,2026年真能止跌吗? 2025年12月11日,由北京中指信息技术研究院主办,中国房地产指数系统、中国物业服务指数系统承办的“2025中国房地产大数据年会暨2026中国房地...
十五五时期资本市场迎哪些机遇挑战?专家这样说 “十五五”时期是我国基本实现社会主义现代化夯实基础、全面发力的关键时期。我国“十五五”时期经济社会发展目标,摆在首要位置的是“实现高质量发展取得显著成...
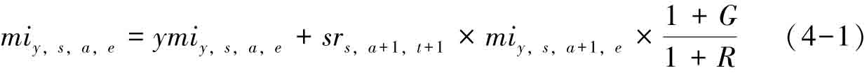
新时代高质量发展财富指数测算与结构分析:基于J-F终身收入法 4.3 新时代高质量发展财富指数的测算与结构分析 依据新时代高质量财富指数的三大维度,结合数据的可得性,我们将分别统计1997—201...
浙里燃情五十载 守正创新再出发!浙江燃气发展50周年总结大会举行 2024年是浙江省燃气行业发展50周年,为记录和反映浙江燃气行业发展历程,铭记历史,展望未来,鼓舞信心,守正创新,推进行业高质量发...
在历史交汇点看五年规划,读懂中国式现代化蓝图 在历史交汇点上,将宏伟蓝图绘到底从五年规划读懂中国式现代化 中央纪委国家监委网站 吴晶 管筱璞 图为广东南沙大桥上的车流和狮子洋水道的船舶来来往往。...
6月25日地方数字金融高质量发展论坛在长沙召开,白皮书发布 6月25日,地方数字金融高质量发展论坛在长沙召开6月25日地方数字金融高质量发展论坛在长沙召开,白皮书发布,地方数字金融联盟在会上正式发...
2025全球数字经济大会:北京信用协会发布信用蓝皮书 近日在北京举行的2025全球数字经济大会“信用赋能数字经济高质量发展论坛”上,北京信用协会正式发布了《北京市信用服务行业发展蓝皮书(2025年...
公立医院成本核算规范18大要点之1:目的和作用,你了解多少? 【要点】公立医院成本核算核算规范18大要点之1:目的和作用 誉方医管创始人兼首席顾问:秦永方 国家卫健委《关于印发公立医院成本核算规范...
十四五聚焦关键领域实施税费优惠政策,数说十四五推出新篇 央广网北京8月8日消息(记者李思默)据中央广播电视总台中国之声《新闻和报纸摘要》报道,“十四五”期间,聚焦支持科技创新和制造业发展等关键领域...
习近平强调推动科技创新与产业创新融合,构建全国统一市场格局 习近平总书记强调:“扎实推动科技创新和产业创新深度融合”“建立全国统一的市场制度规则,促进商品要素资源在更大范围内畅通流动”。 7月30...